Baccalauréat S Centres étrangers 12 juin 2013
L'usage des calculatrices est autorisé selon les termes de la circulaire no 99-186 du 16 novembre 1999.
Il est rappelé que la qualité de la rédaction, la clarté et la précision des raisonnements entreront pour une part importante dans l'appréciation des copies.
Exercice 1 6 points
Un industriel fabrique des vannes électroniques destinées à des circuits hydrauliques.
Les quatre parties A, B, C, D sont indépendantes.
Partie A
La durée de vie d'une vanne, exprimée en heures, est une variable aléatoire $T$ qui suit la loi exponentielle de paramètre $\lambda = 0,0002 $.
- Quelle est la durée de vie moyenne d'une vanne ?
- Calculer la probabilité, à $0,001$ près, que la durée de vie d'une vanne soit supérieure à 6000 heures.
Partie B
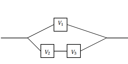
Avec trois vannes identiques $V_{1}$, $V_{2}$ et $V_{3}$, on fabrique le circuit hydraulique ci-contre.
Le circuit est en état de marche si $V_{1}$ est en état d arche ou si $V_{2}$ et $V_{3}$ le sont simultanément.
On assimile à une expérience aléatoire le fait que chaque vanne est ou n'est pas en état de marche après 6000 heures. On note :
- $F_{1}$ l'évènement : «la vanne $V_{1}$ est en état de marche après 6000 heures ».
- $F_{2}$ l'évènement : «la vanne $V_{2}$ est en état de marche après 6000 heures ».
- $F_{3}$ l'évènement : «la vanne $V_{3}$ est en état de marche après 6000 heures ».
- $E$ : l'évènement : «le circuit est en état de marche après 6000 heures ».

On admet que les évènements $F_{1}$, $F_{2}$ et $F_{3}$ sont deux à deux indépendants et ont chacun une probabilité égale à $0,3$.
- L'arbre probabiliste ci-contre représente une partie de la situation. Reproduire cet arbre et placer les probabilités sur les branches.
- Démontrer que $P(E) = 0,363$.

- Sachant que le circuit est en état de marche après 6000 heures, calculer la probabilité que la vanne $V_{1}$ soit en état de marche à ce moment là. Arrondir au millième.
Partie C
L'industriel affirme que seulement 2 % des vannes qu'il fabrique sont défectueuses.
On suppose que cette affirmation est vraie, et l'on note $F$ la variable aléatoire égale à la fréquence de vannes défectueuses dans un échantillon aléatoire de $400$ vannes prises dans la production totale.
- Déterminer l'intervalle $I$ de fluctuation asymptotique au seuil de 95 % de la variable $F$,
- On choisit $400$ vannes au hasard dans la production, on assimile ce choix à un tirage aléatoire de $400$ vannes, avec remise, dans la production.
Parmi ces $400$ vannes, $10$ sont défectueuses. Au vu de ce résultat peut-on remettre en cause au seuil de 95 %, l'affirmation de l'industriel?
Partie D
Dans cette partie, les probabilités calculées seront arrondies au millième.
L'industriel commercialise ses vannes auprès de nombreux clients, La demande mensuelle est une variable aléatoire $D$ qui suit la loi normaled'espérance $\mu = 800$ et d'écart-type $\sigma = 40$.
- Déterminer $P(760\leqslant D \leqslant 840)$.
- Déterminer $P(D\leqslant 880)$.
- L'industriel pense que s'il constitue un stock mensuel de $880$ vannes, il n'aura pas plus de 1 % de chance d'être en rupture de stock. A-t-il raison ?
- Vues: 23945